Kaiser Permanente study evaluated implementation of a new program for solid organ transplant recipients, a group at high risk for skin cancer
A risk assessment-based skin cancer surveillance program can improve screening and detection rates in adults who are at high risk for skin cancer because they have had a solid organ transplant, a new Kaiser Permanente study found.

“People who have had a solid organ transplant need to take medications that suppress their immune system so their body can accept the new organ,” said study first author David S. Lee, MD, a dermatologist with The Permanente Medical Group. “But when the immune system is weakened, the risk of skin cancer increases significantly. That’s why we always remind people who have had an organ transplant to keep a close eye on their skin for any new, changing, or growing skin lesions.”
The study, published in JAMA Dermatology, evaluated the impact of the initial implementation of a new skin cancer surveillance program in patients who had a solid organ transplant. The program uses a risk assessment tool called the Kaiser Permanente Skin and Ultraviolet Neoplasia Transplant Risk Assessment Calculator (KP-SUNTRAC).
KP-SUNTRAC uses a patient’s electronic health record to assess skin cancer risk based on known risk factors, such as race and ethnicity, prior skin cancer diagnoses, age, sex, and the organ transplanted. Patients are assessed as having a low-, medium-, high-, or very-high-risk of developing skin cancer over the next 5 years.
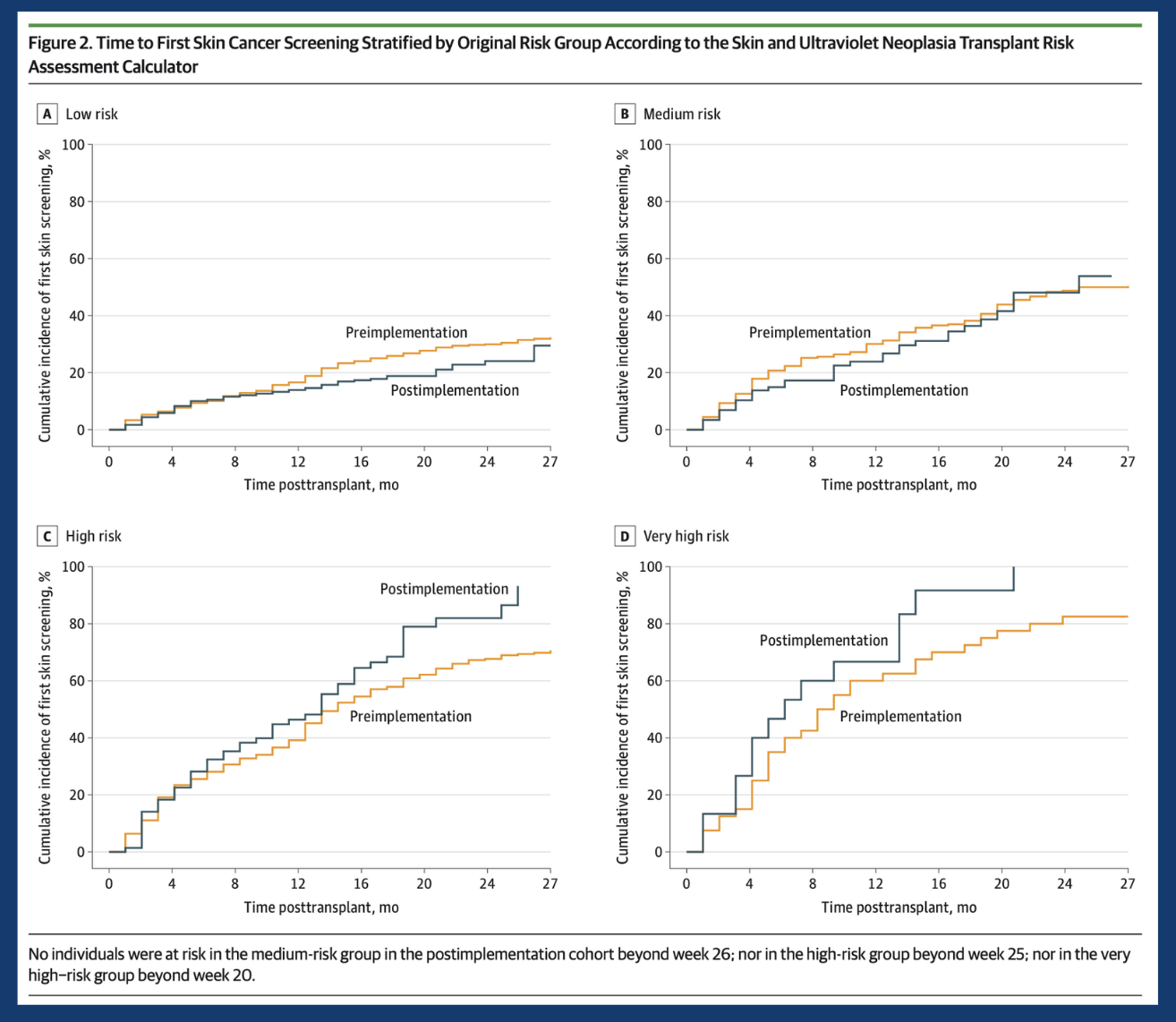
The study included 2,083 members of Kaiser Permanente Northern California (KPNC) who had a solid organ transplant between 2016 and 2023. Within the study group, there were 1,502 patients who had a transplant before the program was implemented and 581 who had a transplant after it was implemented.
The researchers found that after the program started, the median time to first screening for patients decreased from 10 months to 6 months. In addition, the number of patients screened increased from 78% to 100% in very-high-risk patients and from 69% to 93% in high-risk patients. The study also found that before the new program was started, 166 patients were diagnosed with skin cancer, compared with 24 patients after the program was implemented.

“By implementing this program, we not only screened more patients, we found more skin cancers early,” said senior author Marilyn L. Kwan, PhD, research scientist and cancer epidemiologist at the Kaiser Permanente Division of Research. “We believe this is the first study to evaluate this risk calculator in a community-based health setting, and we hope others will be encouraged by our findings to implement similar programs to effectively screen for and detect skin cancers in patients who had a solid organ transplant.”
In the implementation phase of the program, patients categorized by KP-SUNTRAC as high- or very-high-risk and patients who developed skin cancer after their transplant were called in for skin cancer screening annually by a dermatologist. In 2024, the program expanded, with low- and medium-risk patients receiving annual screenings in primary care; these data were not included in the new study.
“Our integrated health care system made it possible for us to do this study,” said Lee. “And because our dermatologists and primary care providers work closely together, all solid organ transplant patients, no matter how they score on KP-SUNTRAC, regularly see a physician who is paying close attention to any new or changing lesions on their skin.”
A high-risk population
The original SUNTRAC screening tool for patients who have had a solid organ transplant was developed in 2019. The tool was designed to help predict skin cancer risk in solid organ transplant patients.
Compared with the general population, these patients are up to 65 times more likely to develop a cutaneous squamous cell cancer, which develops in the outer layer of the skin; up to 10 times more likely to develop a basal cell carcinoma, which develops in a deeper layer of the skin; and up to 3 times more likely to develop melanoma, which develops in the cells that produce melanin in the skin.
People who have had a solid organ transplant are also 9 times more likely to die of skin cancer, in part because these cancers tend to be more aggressive.
The original SUNTRAC study found that a 5-year cumulative incidence of skin cancer ranging from 1% for people categorized as low risk to 45% for people categorized as very-high risk. The new study, using KP-SUNTRAC, showed a similar risk range, with a 72-month cumulative incidence ranging from 1.6% for people categorized as low risk to 78% for the people who were very-high risk, supporting the findings from the original research.
The investigators also compared skin cancer diagnosis rates among the 2,083 KPNC members who had a transplant to 26,199 KPNC members of a similar age and background who had not had a transplant. These analyses showed that, overall, the patients who had a solid organ transplant were 7.8 times more likely to have a skin cancer diagnosis than other KPNC members. For cutaneous squamous cell cancer, specifically, the risk was 7.3 times higher; for basal cell carcinoma, the risk was 5.5 times higher.
“This finding reaffirms both the heightened risk of skin cancer in individuals who have had a solid organ transplant and the clinical importance of the skin cancer screening program we implemented at Kaiser Permanente,” said Lee.
The study was funded by The Permanente Medical Group Delivery Science and Applied Research Program.
Co-authors include Lusine Gigoyan, MPH, and Joshua R. Nugent, PhD, of the Division of Research; Ryan E. Sells, MD, Nelson B. Goes, MD, Hugh R. Harris, MD, Erna O. Nishime, MD, Gurpreet K. Rihal, MD, David. L. Conant, MD, and Ngoc Pham, MD, of The Permanente Medical Group.
###
About the Kaiser Permanente Division of Research
The Kaiser Permanente Division of Research conducts, publishes, and disseminates epidemiologic and health services research to improve the health and medical care of Kaiser Permanente members and society at large. KPDOR seeks to understand the determinants of illness and well-being and to improve the quality and cost-effectiveness of health care. Currently, DOR’s 720-plus staff, including 73 research and staff scientists, are working on nearly 630 epidemiological and health services research projects. For more information, visit divisionofresearch.kp.org or follow us @KPDOR.





Comments (0)